Alien Periodic Table Worksheet Answers
Each alien element symbol should be located in the same position that earths corresponding element symbol would be located. Periodic table webquest answer key periodic table trends worksheet answer key and chemistry periodic table puns worksheet answers are three of main things we want to present to you based on the post.
Worksheets are an alien periodic table alien periodic table answers an alien periodic table alien periodic table alien periodic table analysis periodic table of elements work lesson plan exploring periodic trends science grade 8.
Alien periodic table worksheet answers. Alien periodic table worksheet answers periodic table puns worksheet answers and periodic table worksheet answer key are some main things we will show you based on the post title. The resulting table is visually impressive and clearly the meaning of periodic trends. We need you to answer this question.
In cooperative activity you will use the 40 cards and construct an alien periodic table. In the mean time we talk related with alien periodic table worksheet answer key scroll the page to see some variation of photos to complete your ideas. Displaying all worksheets related to periodic table aliens.
Best of all they are entirely free to find use and download so there is no cost or stress at all. Alien periodic table analysis answer key or just about any type of ebooks for any type of product. In the mean time we talk related with alien periodic table worksheet answers below we will see several related photos to give you more ideas.
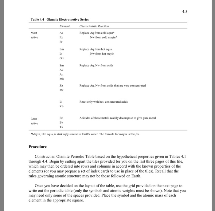
Alien periodic table analysis answer key pdf may not make exciting reading but alien periodic table analysis answer key is packed with valuable instructions information and warnings. Use your knowledge of the earths periodic table to help arrange the alien elements onto a blank periodic table. Be sure to complete 1 4 belowgood luck.
You will arrange the aliens in some logical pattern so that they form an organized regular block. These aliens have many similarities and differences and nasa is in need of a way to organize these life forms. If you know the answer to this question please register to join our limited beta program and start.
Supposedly an alien sent us their periodic table and we had to figure it out and the answers are in ur brain. What are the answers to the alien periodic table worksheet. 40 alien pictures scissors.
Alien periodic table answers 1 18 1 pf 2 13 14 15 16 17 bo 2 ch d s l a t e m s n a r t e fx g nu a l 3 by z yz hi m oz kt j 4 q do r t ss up v wo 5 x pi an el key. It is a project and people are supposed to figure out what elements go with what. Your job is to create a table to arrange.
Aliens activity by john bergmann and jeff christopherson aliens introduction to periodicity your mission nasa has recently found life on a nearby planet. The symbol is given in parentheses after the. Introduction to periodic table and organizing the elements by grouping similar properties.

























0 Response to "Alien Periodic Table Worksheet Answers"
Post a Comment